分子式:C4H5NO3M(C4H4NO3M)m(C4H4NO3M)nC4H4NO3M2  相对分子质量:1000-5000 
 CAS No.181828-06-8;35608-40-6
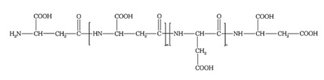
 结构式
 
 
PASP为水溶性聚合物,是一种新型绿色水处理剂,具有无磷、无毒、无公害和可完全生物降解的特性。对离子有极强的螯合能力,具有缓蚀与阻垢双重功效,对碳酸钙等成垢盐类具有良好的阻垢效果,对碳酸钙的阻垢率可达≥95%。同时具有分散作用并可有效防止金属设备的腐蚀。
 PASP可替代含磷的水处理剂,以避免水体的富营养化和排放二次污染。 
 
| 项 目 | 指 标 | 
| 外 观 | 黄色至红棕色液体 | 
| 固体含量 % ≥ | 40.0 | 
| pH(原液) | 8.5-10.5 | 
1、PASP作为阻垢缓蚀剂广泛用于工业循环水、锅炉水、反渗透水、油田水等水处理领域,在高硬 度、高碱度、高pH、高浓缩倍数系统中表现卓越,阻垢效果优于常用含膦阻垢剂。PASP与PBTCA 复配后有增效作用。
 2、由于绿色环保的特性,PASP可作为新型的日化助剂和各种无毒、无污染的专用精细化学品。
 3、PASP在农业上可以作养分吸收增强剂,促进蔬菜、瓜果、花卉等农作物的生产,同时与农药并用可提高药效。 
 
PASP用塑料桶包装,每桶30kg或250kg,或根据用户需求确定。贮于室内阴凉处,贮存期十个月。 
 
PASP为碱性,操作时注意劳动保护,应避免与皮肤、眼睛等接触,接触后用大量清水冲洗。